高级检索

相干激光测风雷达环行器参量对测程的影响

Influence of circulator parameters of coherent wind lidar on distance measurement

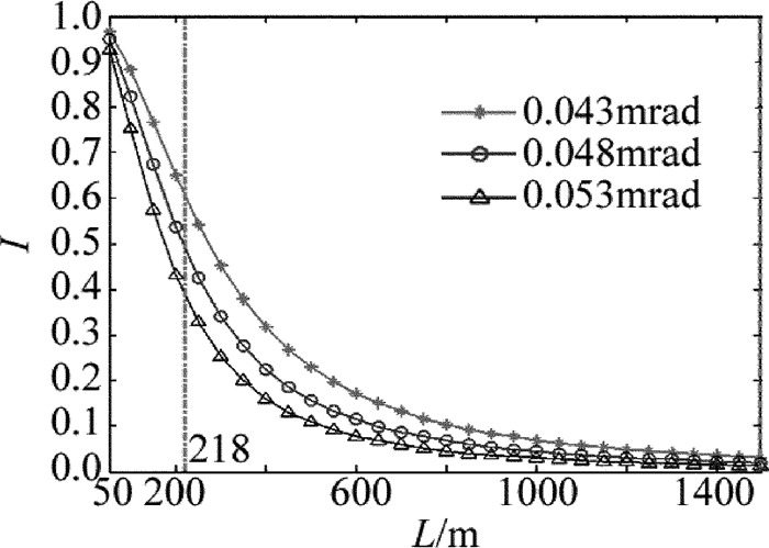
  • 摘要: 为了提高激光测风雷达性能,采用数学建模的方法,基于环行器工作原理,分析了环行器出射光束质量,讨论了光束发散角对目标距离处激光峰值光强的影响,提出了环行器光束接收效率定义,研究了发射和接收光轴偏轴度对探测距离的影响。并搭建实验平台,取得远场光斑参量,验证了仿真结果。结果表明,随着出射光束发散角增大,相同作用距离处的相对峰值光强减小;雷达探测距离主要受偏轴角度的影响,mrad量级的偏角会使探测距离减小89.7%。因此,应合理增大光学天线准直倍率,并且设计的角度调节结构精度应优于0.1mrad量级。

     

    Abstract: In order to improve the capability of wind lidar, based on mathematics modeling method and circulator principle, the transmitted beam quality of circulator was analyzed. The influence of divergence angle on the peak intensity at target distance was discussed. The definition of coupling efficiency of circulator was proposed. And the influence of misalignment between transmitting and receiving axis on detection range was researched. Experimental platform was built to obtain spot parameters in the far field. The simulation results were verified. The results show that, the relative peak intensity at the same distance decreases with the increasing of divergence angle of transmitted beam. The detection range of lidar is mainly affected by misalignment, and misalignment of mrad would make detection range decrease by 89.7%. Therefore, the collimation ratio of optical antenna should be increased reasonably and the structure precision for adjusting misalignment should be better than 0.1mrad level.

     

/

返回文章
返回